More about Newton's Method
Newton's method finds an approximate solution to the equation f(x) = 0, using the concept of the rate of change.
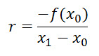
The rate of change r of the values of the function f(x), relative to the variable x, when x changes from x0 to x1, is

This rate of change r can be used to look for a value x1 such that f(x1) = 0, by solving for x1 the equation

We set f(x1) = 0, so

We solve this equation for x1:



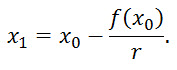
So the solution is

We can compute f(x0) for any chosen x0; but how to find r?
When the difference x1 - x0 is rather small (close to 0), then r can be estimated by the value of the derivative of f(x) for x = x0.
r is approximately equal to f'(x0)
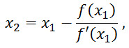
This gives us a formula, which we can compute, that returns an approximate value of the solution of our equation, f(x) = 0:

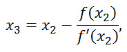
How good this approximation is depends on our choice of x0. But the nice thing is that when we get a good approximation once, we can improve it by iterating the whole process,


and so on.
Webpage Maintained by Owen Ramsey
Calculus Index