` Cutting Pizza

Cutting Pizza


We watched a pizza-cooking contest on the Food Network on TV. The master chefs who presented their creations cut their pizzas in an unusual way (see picture), creating 4 squares in the center, 8 slightly rounded pieces, and four smaller "triangle-like" pieces.

NumberedSlicesSmall.jpg

We started wondering where you need to cut the pizza in order to have the 12 larger pieces (numbered 1-12 above) be of the same size (here size means area).

PizzaIntegralShaded.jpg

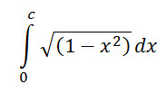
Area shaded in yellow is

Equation01.jpg

because

Equation02-fused.jpg

Notice that the area shaded in yellow contains two pieces. One is a square with area c2, and the other is a "rounded square" sitting on top of the square. We want the two pieces to have the same area, so the area outlined by dotted lines should have area 2c2.
So we want to solve the equation 0c√(1-x2)dx - 2c2 = 0 for c.

Solving the equation: 0c√(1-x2)dx - 2c2 = 0 for the variable c.
First method.
Define,
\Y1=fnInt(√(1-X2),X,0,C)-2C2
Use SOLVER to solve the equation Y1 = 0 for variable C (not for X!).
The solution is almost exactly .48. It means that the radius is cut in the ratio of 48 to 52, or 12 to 13, almost in half.

Second method.
Use the transformation x = sin(t), then dx = cos(t) dt and c = sin(a). The equation is changed into: 0acos(t2)dt - 2sin(a)2 = 0. But 0acos(t2)dt = sin(2a)/4 + a/2 (you may find it in tables of integrals, or on the internet at http://en.wikibooks.org/wiki/Calculus/Tables_of_Integrals, or derive it yourself). This reduces the problem to solving the equation sin(2a)/4 + a/2 - 2sin(a)2 = 0, for a. You may use SOLVER to do it, and then to compute c = sin(a). Also you may solve this equation using Newton's method on the TI-34 II calculator.

Remark.
The first method is much simpler, but you can use the second using a simpler calculator.

Task.
Can you divide this pizza into 16 pieces so that 12 of them have equal area, as outlined above?

BigPizzaPicture.jpg

click here to get a printable PDF of this picture


Webpage Maintained by Owen Ramsey
Calculus Index