


| Y1-.55πR=0 | |||
| · | C=6.9448351745... | ||
| T=0 | |||
| R=10 | |||
| bound={0,10} | |||
| · | left-rt=0 |
| C | ENTER | 6.944835175 | ||||||
| R2/C→D | ENTER | 14.39918983 |
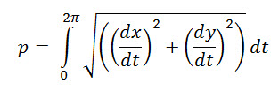
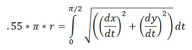
| \X1T=Rcos(T) | These two equations describe a circle | |||
| \Y1T=Rsin(T) | with radius R. | |||
| \X2T=Dcos(T) | We switch the position of C and D because it is | |||
| \Y2T=Csin(T) | better to have the longer axis of the ellipse along the x-axis. |


| Y1-.55πR=0 | |||
| · | C=6.9448351745... | ||
| T=0 | |||
| R=10 | |||
| bound={0,10} | |||
| · | left-rt=0 |