Cone with
maximal volume
Task.
Design and make from poster board a cone with a
slant height S equal to 10 cm. The cone
should have the biggest volume possible.
Solution
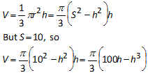
The volume V of a cone with height h and radius
r is given by V=1/*3πr2h.

But
S2= h2 + r2, so r2 = S2 -
h2
So,

We
want to maximize this volume.
Let's
use solver and nDeriv, to solve for h. (We now call it X.)
We
put in Y1:
\Y1=(π/3)*(100X-X3)
Then
in solver,
eqn:0=nDeriv(Y1,X,X)
We
have to make a guess for X (the cone's height). It will be less than 10.
Then
we press alpha solve
We
get X=5.7735026629
This is the height h of the cone.
What
next?
We
need to find the radius of the cone. We
use the Pythagorean theorem:
r2
+ h2 = S2
r2
= S2 - h2
r = √
( S2 - h2)
S =
10, so
r ≈
8.14619
cm
How
to design the cone?
A
cone is made from a sector of a circle, so we need to find how many degrees are
in the sector, namely, in the angle we will call A. Our circle will have a radius S of 10 cm,
which is the slant height of the cone.

Here
is the equation we need to solve:
angle
A/360°= (2πr)/(2π S)
So
angle A = (r/S)*360°.
Do you see it?
We
have r and S, so let's solve the equation for
angle A!
Now
we can build our cone!
What
is the volume of the cone?
Y1.