Triángulos Coloridos

Introducción
En esta lección aprenderá a hacer triángulos coloridos,
también llamados tapetes ó alfombras de Sierpinski, en memoria
de W. Sierpinski (1882-1969). Observe aquí como, de la nada, aparece
un tapete de Sierpinski, en blanco y negro.
Actividad
Materiales: papel, reglas, rotuladores ó lápices de cera
de colores.
Instrucciones Básicas:
- Dibujar un triángulo equilátero cuyos lados midan, aproximádamente,
9 pulgadas.
- Unir los puntos medios de estos lados, para formar un triángulo
central más pequeño, que tendrá ¼ del área.
Píntelo ahora de color verde.
- Unir ahora los tres triángulos delineados, conectándolos
a través de los puntos medios de sus lados, y creando así
tres triángulos menores. Píntelos de color amarillo.
- Ahora tendrá nueve triángulos coloreados; únalos
asimismo a través de los puntos medios de sus lados, obteniendo
así nueve triángulos centrales, que coloreará en
azul.
- Finálmente, cree 27 triángulos pequeños, en medio
de los triángulos sin colorear, y píntelos de color rojo.
- Esta es la apariencia de un
tapete de Sierpinski, sin colorear. Puede imprimir este dibujo y decir
a sus estudiantes que coloreen los triángulos.
- Aquí puede observar un tapete
de Sierpinski realizado por un estudiante.
Ahora deténgase y use su imaginación. ¿Qué ocurriría
si continuase haciendo los triángulos más y más pequeños?
¿Llenaría el triángulo mayor por entero? El remanente es
más y más pequeño.
1. Calculemos ahora el área cubierta por los triángulos coloridos.
- Los verdes ocupan ¼ del área total, quedando otros ¾
.
- Los amarillos cubren ¼ del resto, lo cual es igual a ¼ de
¾, quedando entonces ¾ * ¾ del área total.
- Los de color azul ocupan ¼ de lo que resta, quedando así
¾ * ¾ * ¾ del área total.
- Y los rojos llenan ¼ de los que resta, sobrando ¾ * ¾
* ¾ * ¾ del área total.
Por lo tanto, si continuásemos, cubriríamos
¼ + ( ¼ * ¾) + ( ¼ * (¾)²)
+ ( ¼ * (¾)³) + ... =
¼ * ( 1 + ¾ + (¾)² + (¾)³ + ...
)
lo cual es la suma de una progresión geométrica
con el factor ¾ multiplicado por ¼.
2. La suma de esta progresión geométrica
es igual a 1/(1 - ¾) = 4 (ver abajo). Por lo tanto, el área
cubierta será ¼ * 4 = 1, esto es, el área total.
Así, habremos coloreado el área completa, incluso si algunos
puntos individuales permanencen en blanco.
Nota: El hecho de comenzar
con un triángulo equilátero se debe tan sólo a motivos
estéticos. Tal resultado será el mismo para cualquier triángulo.
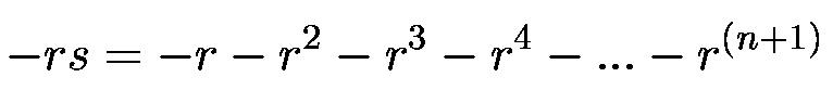
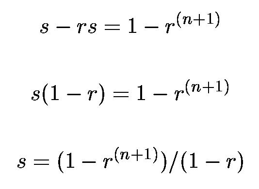
3. Cómo sumar una progresión geómetrica.
|
Digamos que

Entonces, multiplicando por -r,

Sumando las dos ecuaciones de arriba,

|
|